RUMUS CEPAT MATEMATIKA
- Barisan dan Deret -
Soal 1
Nilai dari
= .....
A. 180
B. 190
C. 200
D. 210
E. 220
Jawab :Soal 2
<< ----- INFO SMART ----- >>
Rumus jumlah n suku pertama deret aritmatika adalah
Sn = ½ n (2a + (n – 1)b
Keterangan :
n = banyaknya suku
a = suku pertama
b = beda
<< ----- RUMUS CEPAT ----- >>
Pertama --> Kita tentukan dahulu nilai awal dan akhir
n = 1 n = 10
↓ ↓
= (2(1) + 10) +....+ (2(10) + 10)
= 12 +....+ 30 ( Nilai awal = 12 dan akhir = 30 )
Kedua --> Gunakan rumus cepatnya
Jadi jawabannya adalah D. 210
Jawab :Soal 3
<< ----- RUMUS CEPAT ----- >>
Pertama --> Kita tentukan nilai awal dan akhir
Soal diatas bisa diubah menjadi
k = 1 k = 100
↓ ↓
= (2(1) + 1)+.....+(2(100) + 1)
= 3 +.....+ 201 ( Nilai awal = 3 dan akhir = 201 )
Kedua --> Gunakan rumus cepatnya.
Jadi jawabannya adalah A. 10200
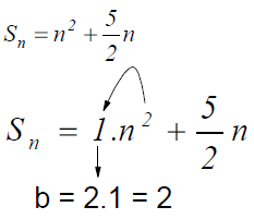
Jumlah n suku pertama deret aritmatika adalah
.
Beda deret aritmatika tersebut adalah...
A. -2
B. 2
C. -4
D. 4
E. 5/2
Jawab :Soal 4
<< ----- INFO SMART ----- >>
Sn = pn2 + qn suatu deret aritmatika, maka beda = 2p
<< ----- RUMUS CEPAT ----- >>
Jadi jawabannya adalah B. 2
Jumlah n suku pertama deret aritmatika adalah Sn = 3n2 - 4n. Suku ke-n dari deretJawab :
tersebut adalah...
A. 3n - 8
B. 6n - 2
C. 6n - 5
D. 3n + 8
E. 6n - 7
Soal 5
<< ----- INFO SMART ----- >>
Jumlah koefisien variable untuk jumlah n suku pertama sama dengan jumlah koefisien
variabel untuk suku ke-n.
<< ----- RUMUS CEPAT ----- >>
1. Jumlahkan koefisiennya saja
Sn = 3n2 - 4n
= 3 + (-4)
= -1
2. Pada pilihan jawaban, cari yang nilai koefisiennya = -1
A. 3n - 8 = 3 + (-8) = -5 --> Salah
B. 6n - 2 = 6 + (-2) = 4 --> Salah
C. 6n - 5 = 6 + (-5) = 1 --> Salah
D. 3n + 8 = 3 + 8 = 11 --> Salah
E. 6n - 7 = 6 + (-7) = -1 --> Benar
Jadi jawabannya adalah E. 6n - 7
UAN 2003/P-1/No.10Jawab
Suatu keluarga mempunyai 6 anak yang usianya pada saat ini membentuk barisan
aritmetika. Jika usia anak ke-3 adalah 7 tahun dan usia anak ke-5 adalah 12 th,
maka jumlah usia enam anak tersebut adalah...
A. 48.5 Tahun
B. 49.0 Tahun
C. 49.5 Tahun
D. 50.0 Tahun
E. 50.5 Tahun
<< ----- INFO SMART ----- >>
Suku ke-n deret aritmatika --> Un = a + (n - 1)b
Jumlah n suku pertama --> Sn = n/2 (2a +(n - 1)b)
<< ----- RUMUS CEPAT ----- >>
1. Mencari BEDA dengan cepat.
U3 = 7 7 - 12 5
b = ------- = ---
U5 = 12 3 - 5 2
2. Mencari U1 atau a dengan substitusi.
U3 → a + 2b = 7
→ a + 2(5/2) = 7
→ a + 5 = 7
→ a = 7 - 5
→ a = 2
3. Mencari S6 atau jumlah suku ke-n yang dicari.
S6 = n/2 (2a + (n - 1)b)
= 6/2 (2(2) + (6 - 1)5/2)
= 3 (4 + (25/2)
= 3 (16,5)
= 49,5
Jadi jawabannya adalah C. 49.5
Soal 6
Suku ke-n suatu deret adalah Un = 4n + 1. Jumlah sepuluh suku pertama adalah...Jawab :
A. 210
B. 220
C. 230
D. 240
E. 250
Soal 7
<< ----- INFO SMART ----- >>
Jika Un = an + b
- maka -
Sn = 1/2 an2 +(b + 1/2a)b
↓ ↓
Integral Jmlh. Koefisien
<< ----- RUMUS CEPAT ----- >>
jumlah = 5
┌─˄──┐
Un = 4n + 1
↓ Integral
Sn = 2n2 + 3n
└──˅───┘
jumlah = 5
S10 = 2(102) + 3(10)
= 200 + 30
= 230
Jadi jawabannya adalah C. 230
Sebuah bola pingpong dijatuhkan dari ketinggian 20 meter dan memantul kembaliJawab :
dengan ketinggian 3/4 kali tinggi sebelumnya. Pemantulan ini berlangsung terus
menerus hingga bola berhenti. Maka jumlah seluruh lintasan bola adalah...
A. 130
B. 140
C. 15
D. 60
E. 80
Mungkin itu saja informasi yang bisa saya berikan tentang Rumus Cepat Barisan dan Deret Matematika Bagian 1 semoga bermanfaat.
<< ----- INFO SMART ----- >>
Bola jatuh di ketinggian t , dan memantul sebesar a/b kali tinggi sebelumnya.
Maka jumlah seluruh lintasan bola sampai berhenti adalah :
b + a
J = ────── t
b - a
<< ----- RUMUS CEPAT ----- >>
b + a
J = ────── t
b - a
4 + 3
= ────── 20
4 - 3
= 140
Jadi jawabannya adalah B. 140





Tidak ada komentar:
Posting Komentar